嚴禁井下配電變壓器中性點直接接地。嚴禁由地麵中性點直接接地的變壓器或發電機直接向井下供電。
【解讀】本條是關於變壓器或發電機中性點不得直接接地的規定。
變壓器三相繞組相連接的公共點稱為中性點。由中性點引出的導線稱為中性線(零線)。變壓器三相繞組輸出端之間的電壓稱為線電壓;三相輸出任一端與中性點之間的電壓稱為相電壓。線電壓是相電壓的√3倍。
變壓器中性點接地,將中性線引出的三相四線製供電係統有如下優點:
(1)一台變壓器可以輸出兩種電壓,即線電壓和相電壓;
(2)三相對地電壓不大於相電壓;
(3)不能存在短路接地故障;
(4)限製了三相對地分布電容。
變壓器中性點接地供電方式雖然有以上優點,但也存在以下問題:

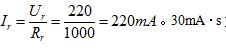
(1)人身觸電電流太大。因為變壓器中性點接地的供電係統,三相對地電壓即為相電壓,人身觸電電流為相電壓與人身電阻的比值,井下空氣潮濕,人身電阻Rr取1000Ω,380V的供電係統,人身觸電電流為人身觸電安全電流通過人身50mA電流就能致人死亡,可見,變壓器中性點直接接地供電方式對人身觸電構成威脅太大。
(2)單相接地短路電流太大,容易引起供電設備和電纜損壞或爆炸著火02manbetx.com ;同時,接地點產生很大電弧,容易引起瓦斯和煤塵爆炸02manbetx.com ;
(3)容易引起電雷管先期引爆。
以上問題對煤礦構成威脅太大。采用變壓器中性點不接地供電方式,安裝漏電保護裝置和使用屏蔽電纜,可以避免漏電和相間短路故障。我國從1955年起即采用變壓器中性點不直接接地供電係統,實踐證明可以實現安全運行。
嚴禁變壓器中性點直接接地,當井下供電網路容量較大,單相接地電容電流超過20A以上時,可采用經消弧線圈接地方式,並必須采用調整補償措施,以防網路出現補償諧振現象。
