巷道錨注岩體失穩的突變模型及最小厚度的確定
巷道錨注岩體失穩的突變模型及最小厚度的確定
劉福勝1,宋 揚2,王連國3,劉佩璽1,嶽慶河1
(1.山東農業大學水利土木工程學院,泰安 271018;2.山東科技大學資環學院,青島 266510;3.中國礦業大學理學院,徐州 221008)
摘要:本文針對目前巷道加固中普遍應用的錨注支護結構在理論研究方麵的不足,從突變理論出發建立了錨注支護體的突變理論模型,得到了錨注體破壞的力學判椐和點(N,q)在控製空間的運動途徑對岩體穩定性的影響,並通過破壞力學判椐得到關鍵承載岩體由一層錨注岩體構成時的最小厚度,為實際計算和應用提供了理論依據。
關鍵詞:錨注;突變;模型;失穩
中圖分類號:TU457 文獻標識碼:A 文章編號:1000-2324(2005)04-0552-05
收稿日期:2005-06-26
作者簡介:劉福勝(1964- ),男,教授,主要從事力學、岩土工程研究和教學工作。
MUTATION MODLE OF LOST STABILITY OF ROLT-GROUTING IN ROADWAY AND THE MINIMUM THICKNERS OF KEY BEARING ROCK MARS
LIU Fu-sheng1, SONG Yang2, WANG Lian-guo3, LIU Pei-xi1,YUE Qing-he1
(1.Shandong Agricultural University, Water and conservancy and civil Engineering college,Taian 271018,China;2.Shandong University of science and Technology,Resource and Environment college, Qingdao 266510,China;3.China University of Mining and Technology,,Technology college, Xuzhou 221008,China)
Abstract:in this paper, considering incompleteness in theoretic study about bolt-grouting structure applied universally in roadway reinforcement at present , model of mutation theory about bolt-grouting body is established according to mutation theory , obtain mechanical determinant about the failure of bolt-grouting body and the influence on stability of rock mass in movement path of point (N,q)in controlling space. At the same time, the minimum thickness of key bearing rock mass making up of only a layer of bolt-grouting rock mass was obtained according to failure mechanical determinant. This movided theoretical bases for practical calculations and application.
Key Words:bolt-grouting, mutation, model, lost stability
1 引言
  國內外無數次的岩體工程實踐表明,岩體工程的失穩,大多數是由於其內部節理、裂隙等缺陷及其發展導致的。為了防止岩體的變形破壞,需采用各種方式進行加固,其中注漿錨杆加固是重要的一種。在節理裂隙岩體中,注漿和錨杆的加固作用十分明顯,但到目前為止,關於裂隙岩體整體失穩破壞和注漿錨杆加固機理尚不十分清楚,這方麵的研究很少。本文主要探討注漿岩梁的破壞過程,引用突變理論的有關知識解答本文將要探討的問題。
2 突變理論的基本概念
  突變理論基本概念包括:函數、歐幾裏得空間,歐氏空間的線性映射、距離、微商、偏微商、臨界點、結構穩定性、奇點集、分歧集。其中,臨界點和結構穩定性是最重要的概念。臨界點有孤立和非弧立之分,又有非退化臨界點與退化臨界點之分,非退化的臨界點稱為Morse臨界點,可以證明,非退化的臨界點一定是孤立的,但反過來不成立。結構穩定性問題可以看成結構或係統在小擾動下是否恢複原來的平衡位置,其數學描述粗略地表示為:在f的臨界點U處(局部概念),如果對充分小的函數P∈C∞,f+P的臨界點和f 的臨界點U類型相同,稱f在U附近是結構穩定的。任何一個係統,其狀態總要保持平衡,係統由一個平衡狀態躍變(而不是逐變)到新的平衡狀態時就發生了突變,這個過程的全貌可通過一個光滑的平衡曲麵來描述,突變理論所研究的就是描述這種突變過程的所有可能的平衡曲麵。千差萬別的突變現象,以它們的平衡曲麵來分類,可以歸結為若幹基本的類型。R. Thom證明,如果控製空間的維數不超過4,則隻有7種可能的突變形式(7種局部拓撲類型),它們是拓撲穩定的,且和狀態變量或廣義坐標的個數無關。由於突變理論的特殊性(如圖形表達或分類簡單的優點),人們已經將其用於材料斷裂過程的03manbetx
,當控製裂紋擴展的荷載參數為2個或多個時,裂紋擴展過程要比單個荷載問題複雜,用以往的辦法討論難以湊效,采用突變理論可以將各式各樣的實際問題簡化成幾種已知的模型,使03manbetx
多參數問題較為簡易。
3 關鍵承載岩體由一層錨注岩體構成時的突變失穩
  我們知道,巷道所處的岩體是複雜的。巷道塌方一般發生的拱部,巷道開挖之後,拱部的岩體對巷道的穩定有重要影響,如果拱部的岩體失穩,則會進一步影響整個巷道的失穩。拱部所處的岩體稱之為關鍵承載岩體或關鍵承載層岩體。本文隻討論關鍵承載岩體由一層錨注岩體構成時的突變失穩問題。
3.1 受力模型
  岩體較軟弱、關鍵承載岩體較薄或者承載岩體離巷道頂板較遠時,巷道頂板穩定性較差。需要進行錨注加固,頂板加固後形成一層類似於關鍵承載岩體的板式梁。如圖1所示:
  梁的長度為巷道的寬度。其長度為L,垂直寬度為h,水平寬度為d,且L>>h、d≈h,彈性模量為Em,水平力N垂直作用於梁的兩端,梁的中部受集中力p的作用,A、B兩點還有向上的垂直力,但垂直力方向上沒有位移,故模型上未表示出。又設岩體在構造應力的作用下發生彎曲變形,其軸線的撓度曲線可精確地表示為富氏級數:
  近似表示。式中:s為由原點A到軸線上任一點C的弧長,w為對應於s的撓度,L為軸線長。
3.2 係統的勢函數
  圖1示的各力在隧道開挖注漿之後一定時間內是不斷變化的,由於作用力的靜態運動過程。首先建立係統在該過程中總勢能函數的表達式,再通過給出勢函數族的全部臨界點集,來確定係統發生失穩的應力條件。
係統的勢函數:
  由彈性理論可知,任一結構體係的總勢能V,可表示為結構的應變能U和荷載勢能的組合: (3)
(3)
  式中:Pi為結構上的荷載,δi為其相應位移,n為荷載個數,對於我們的模型,垂直力均布力q在加載過程中做負功,因而有 (4)
   (4)
  式中δ是水平方向的總位移,u為梁軸線中點的撓度,取向上方向為正。
  對上述結構體係,根據梁的彎曲理論的平截麵假設,我們可有 (5)
   (5)
式中:K為梁的曲率,I為梁的橫截麵對水平軸的慣性矩。則式(4)最後可近似表達為 (6)
   (6)
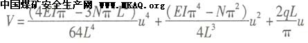
  對(6)式中被積函數作泰勒展開,截斷後,就得出了我們所討論的模型係統總勢能函數的近似表達式: (7)
  (7)
3.3 係統的突變理論模型
  對(7)式用變換,
  則係統總勢能表達式可化為以a,b(相應以水平力N和垂直力q)為控製變量,以x(相應以軸線中點撓度u)為狀態變量的CUSP型突變模型: (11)
(11)
  由(11)式可知,對於每一組由一對N,P所決定的a,b,總有一勢函數Va,b相對應,故式(11)實際上給出了一個函數族:
V∶R  R2→R   (12)
其中R為狀態空間,R2為控製空間,函數族V中所有勢函數Va,b的所有臨界點的集合M,稱為平衡曲麵,是由平衡方程
DVa,b=x3+ax+b=0  (13)
  定義的子集,它是一光滑流形集,其圖形如圖2所示。
  由圖2可見,突變映射 q是自然投影  π∶R×R2→R2
  對M的限製,在此π(x,a,b)=(a,b),即
        q∶M→{(a,b)},(x,a,b)|→(a,b),(x,a,b)∈M.
  q的奇點集S在控製空間R2中的象B稱為分叉集,B在a-b控製空間中為滿足條件
27b2+4a3=0    (14)
  的(a,b)點,在N-P控製空間中,就是滿足條件
54L6q2+(EIπ4-L2π3N)3π4=0   (15)
  的點(N,P),其形狀為圖中控製麵C上的尖角形曲線,因勢函數(11)僅在分叉集B上,即僅在滿足(14)式的點(a,b)上有退化的臨界點,故上述模型係統隻有在水平力N和垂直力q滿足條件時,結構才是不穩定的,才可能由一個平衡狀態突變到另一個平衡狀態。
3.4 岩體運動失穩的力學條件
  據所建立的突變模型,可對上述模型的平衡穩定性問題,得出以下幾點初步的認識:
  (1)分叉集B對控製空間N-q的劃分
  由水平力N和垂直力q構成N-q的控製空間,被分叉集B分為五個部分:點Q;曲線B的兩支B1和B2;區域E和尖角區的內部J(圖3),它們對應著係統不同的狀態,分別討論如下(記(5)式左端為D):
  ①點Q 這時D=0和q=0。由(6-15)式就有
  這就是使岩體失穩的最小水平應力值。由突變模型得到的這一特殊情況,正是彈性理論中關於梁失穩的臨界應力值。
  ②B的兩支B1和B2這時D=0但q≠0,相應平衡方程(13)有一個單根和一對重根,它們對應於勢函數V的一個極小值和一個變曲點。平衡曲麵M上對應於點(N,q)的點,若在折疊線S的一支上,就要突變跳躍到使係統處於穩定平衡狀態的另一單葉上,反之則不然(如圖4)。水平應力滿足σN>σN0是點(N,q)∈B的必要條件。
  ③區域E這時D>0,平衡方程(13)相應隻有一個實根,它使勢函數V在此隻有一個極小值。在M上,對應於(N,q)∈E的點,使係統處於穩定平衡狀態,還可以發生突變。點(N,q)∈E時,σN>σN0、σN=σN0和σN
          <σn0三種情況有可能出現。
             ④區域J 這時D<0,平衡方程(13)相應就有三個不同實根,它們對就於勢函數V的兩個極小值和一個極大值。對應於尖角形區域J內的每一點(N,q),M上有三個點:上下兩葉的點使係統處於穩定平衡狀態,中間一葉的點使係統處於不穩定平衡狀態,中間一葉的點在理論上是不能達到的。當σN>σN0時,也是點(N,q)∈J的必要條件。
           
3.5 點(N,q)在控製空間的運動途徑對岩體穩定性的影響
           
  據分叉集B對N-q控製空間的劃分,可看出,作為控製變量的水平力N和垂直力q的漸變可導致狀態的突變,並且點(N,q)內在控製空間的運動途徑對岩體穩定性有明顯影響,圖5、圖6給出了幾種基本的情況,實際情況無疑要複雜得多。設點(N,q)在控製空間C中的運動途徑為A-G-K-D-F,在平衡曲麵M上,點(N,q)的對應點的運動途徑為A′-G′-K′-D′-F′。
           
  ①點(N,q)用在水平力N滿足條件N>N0,且保持常數,垂直力q增大時運動(如圖5)。當點(N,q)右移到K點,係統的狀態發生突變,勢能也發生突變。我們注意到,這時垂直力是由負經過零逐漸增大的。這說明,在Q點附近一個局部範圍內,岩體受到的垂直力的性質發生了變化(方向改變),並且它的出現和漸變可能導致狀態突變。K點的垂直力起到"觸發"係統一次突變的作用,我們不妨稱這時的垂直力PK為“觸發力”。如果點(N,P)沿相反途徑運動(如圖中的F-D-K-G-A),那麼突變不是在原來的K,(或D),而是在原來不發生突變的G點發生,這可以解釋岩體的失穩,不僅決定於應力水平,而且與力的作用方式有關。
           
  ②點(N,q)保持在區域E中運動(如圖6)。這時水平力和垂直力的變化,使得岩體從一個穩定平衡狀態變化到另一個穩定平衡狀態,雖然也可能出現水平應力超過臨界應力的情況,但不會發生狀態的突變。這時的N和q相當於導致岩體穩態蠕動、滑移等進程的力學條件。
           
  ③點(N,q)的運動使起、終點都在尖角區J內。盡管此時初始和最終作用的應力狀態可能接近(甚至相同),但係統的狀態和勢能卻可能發生很大的變化,但不以突變的方式發生。例如開始在A,由於沒有足夠大的垂直觸發力,隨著時間的推移,水平力又降低了(如相鄰塊體發生了水平方向的相對運動,使作用在這一塊體上的水平力降低),經過G、K、D最後達到F。
           
            
           
4 關鍵承載岩體由一層錨注岩體構成時最小厚度的確定
           
  為確定關鍵承載岩體由一層錨注岩體構成時的最小厚度,假設取關鍵承載岩層軸向寬度為單位長度,厚度為h0,因此有:
           
  代入式(15)得錨注體的最小厚度為:
            
           
            
           
5 結論
           
  本文針對目前巷道加固中普遍應用的錨注支護結構在理論研究方麵的不足,從突變理論出發建立了錨注支護體的突變理論模型,得到了錨注體破壞的力學判椐和點(N,q)在控製空間在的運動途徑對岩體穩定性的影響,並通過破壞力學判椐得到關鍵承載岩體由一層錨注岩體構成時最小厚度,為實際計算和應用提供了理論依據。今後對圓形巷道錨注支護體的突變理論研究將作進一步的研究。
           
參考文獻
           
〔1〕李術才. 加錨斷續節理岩體斷裂損傷模型及其應用〔博士學位
           論文〕〔D〕. 武漢:中國科學院武漢岩土力學研究所,1996
           
〔2〕 Thompson J M T,Shorrock P A. Hyperbolic umbilic catastrophe in crystal fracture〔J〕. Nature,1976,(260):598-599
           
〔3〕 潘嶽.岩石破裂過程的折迭突變模型〔J〕.岩土工程學報,1999,21(3):299-303
           
〔4〕 秦躍平. 岩石損傷力學模型及其本構方程的探討〔J〕. 岩石力學與工程學報,2001,20(4):560-562
           
〔5〕 趙鬆傘,於允賢. 突變理論及其在生物醫學中的應用〔M〕. 北京:科學出版社,1987
           
〔6〕 桑德斯 P T. 災變理論入門〔M〕. 淩複華譯. 上海:上海科學技術文獻出版社,1983
           
〔7〕 黃克智,餘壽文. 彈塑性斷裂力學〔M〕. 北京:清華大學出版社,1985
          σn0三種情況有可能出現。
 
    
