�������ij���Ϊ����Ŀ�ȡ��䳤��ΪL����ֱ���Ϊh��ˮƽ���Ϊd����L����h��d��h������ģ��ΪEm��ˮƽ��N��ֱ�������������ˣ������в��ܼ�����p�����ã�A��B���㻹�����ϵĴ�ֱ��������ֱ��������û��λ�ƣ���ģ����δ��ʾ�������������ڹ���Ӧ���������·����������Σ������ߵ��Ӷ����߿ɾ�ȷ�ر�ʾΪ���ϼ�����
 �������Ʊ�ʾ��ʽ�У�sΪ��ԭ��A����������һ��C�Ļ�����wΪ��Ӧ��s���Ӷȣ�LΪ���߳��� 3.2��ϵͳ���ƺ����� ����ͼ1ʾ�ĸ������������ע��֮��һ��ʱ�����Dz��ϱ仯�ģ������������ľ�̬�˶����̡����Ƚ���ϵͳ�ڸù����������ܺ����ı��ʽ����ͨ�������ƺ������ȫ���ٽ�㼯����ȷ��ϵͳ����ʧ�ȵ�Ӧ�������� ϵͳ���ƺ������� �����ɵ������ۿ�֪����һ�ṹ��ϵ��������V���ɱ�ʾΪ�ṹ��Ӧ����U�ͺ������ܵ���ϣ���
��3�� ����ʽ�У�PiΪ�ṹ�ϵĺ��أ���iΪ����Ӧλ�ƣ�nΪ���ظ������������ǵ�ģ�ͣ���ֱ��������q�ڼ��ع������������������
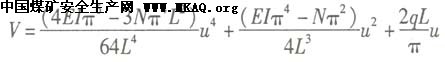
��������4���� ����ʽ�Ц���ˮƽ�������λ�ƣ�uΪ�������е���Ӷȣ�ȡ���Ϸ���Ϊ���� �����������ṹ��ϵ�����������������۵�ƽ������裬���ǿ��Ъ�
���� ��5���� ʽ�У�KΪ�������ʣ�IΪ���ĺ�����ˮƽ��Ĺ��Ծء���ʽ��4�����ɽ��Ʊ��Ϊ��
��������6�� �����ԣ�6��ʽ�б���������̩��չ�����ضϺ͵ó������������۵�ģ��ϵͳ�����ܺ����Ľ��Ʊ��ʽ��
������7���� 3.3��ϵͳ��ͻ������ģ�ͪ� �����ԣ�7��ʽ�ñ任��
 ������ϵͳ�����ܱ��ʽ�ɻ�Ϊ��a��b����Ӧ��ˮƽ��N�ʹ�ֱ��q��Ϊ���Ʊ�������x����Ӧ�������е��Ӷ�u��Ϊ״̬������CUSP��ͻ��ģ�ͣ�
��11���� �����ɣ�11��ʽ��֪������ÿһ����һ��N��P��������a��b������һ�ƺ���Va��b���Ӧ����ʽ��11��ʵ���ϸ�����һ�������壺�� V��R����R2��R��������12���� ����RΪ״̬�ռ䣬R2Ϊ���ƿռ䣬������V�������ƺ���Va,b�������ٽ��ļ���M����Ϊƽ�����棬����ƽ�ⷽ�̪� DVa,b=x3+ax+b=0������13���� ����������Ӽ�������һ�⻬���μ�����ͼ����ͼ2��ʾ��
 ������ͼ2�ɼ���ͻ��ӳ�� q����ȻͶӰ�����С�R��R2��R2 ������M�����ƣ��ڴ˦�(x,a,b)=(a,b)���� ����������������q��M��{(a,b)},(x,a,b)|��(a,b),(x,a,b)��M. ����q����㼯S�ڿ��ƿռ�R2�е���B��Ϊ�ֲ漯��B��a-b���ƿռ���Ϊ�������� 27b2+4a��=0������ ��14���� �����ģ�a��b���㣬��N-P���ƿռ��У������������� 54L��q2+��EI�У�-L2�У�N�����У�=0���� &nb��һҳ[1][2][3][4]��һҳ
����¼�룺mkaq ���α༭��mkaq |
|